|
Документ взят из кэша поисковой машины. Адрес
оригинального документа
: http://www.atnf.csiro.au/news/newsletter/jun05/molecular_gas.htm
Дата изменения: Thu Jan 24 00:45:32 2013 Дата индексирования: Mon Feb 4 00:14:20 2013 Кодировка: Поисковые слова: http www.badastronomy.com bad tv foxapollo.html |
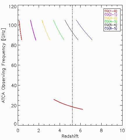
The completion of the 12-mm and 3-mm receiver systems on the Compact Array has secured two new astronomical windows into the southern skies. A slew of new scientific observations are now possible. These include investigating the molecular gas reservoirs in and around galaxies in the very distant (high redshift) universe. The quantity and distribution of molecular gas in galaxies highlights their recent star formation as well as pinpointing the production sites for future stellar populations. After molecular hydrogen (H2), which is very difficult to observe at radio wavelengths, carbon monoxide (CO) is the most abundant molecule in the universe, and on large scales is a very good tracer of H2. The available Compact Array observing windows for different characteristic transitions of the CO molecule from galaxies over a wide range of redshifts are illustrated in Figure 1.

Figure 1: The available observing windows for Compact Array observations of redshifted
carbon monoxide. The dashed line indicates the redshift of TN J0924-2201.
Powerful radio emission from objects which existed during the first few billion years following the Big Bang pinpoint the sites where the most massive galaxies we see around us today are forming. The highest redshift radio galaxies therefore provide the best clues to the formation epoch of massive galaxies, and observations of molecular gas and stardust in such systems are of crucial importance, as both trace star formation on large scales. Northern hemisphere millimetre interferometers have already observed molecular gas and dust in a handful of high-redshift radio galaxies, confirming that these objects are still forming the bulk of their stars.
The most distant radio galaxy known to date is TN J0924-2201, located more than 12.5 billion light years away at a redshift of 5.2. When first discovered in 1999, it was hypothesised that TN J0924-2201 is a young, primeval galaxy in its formative stages. The detection of molecular gas was needed to confirm prodigious amounts of past and present star formation. Until the millimetre upgrade of the Compact Array, this observation was not possible — the source is either too far south for northern hemisphere millimetre interferometers, or its redshift moves the characteristic CO frequencies out of available observing bands.
In August and September of 2004, the Compact Array discovered about 100 billion solar masses of molecular gas from TNJ0924-2201. The CO (J=1-0) and the CO (J=5-4) emission spectra from TN J0924-2201 are shown in Figure 2. These observations place a stringent upper limit of 1.1 billion years (the time since the Big Bang) on the timescale for the star formation in the galaxy, since we see the by-product in the form of CO. This timescale also limits the formation of the central super-massive (109 MSun) black hole, which we believe to be responsible for the powerful radio emission.

Figure 2: Carbon monoxide emission spectra from the galaxy TN J0924-2201. The J=1-0 transition is
shown filled and the J=5-4 transition is overlaid with a dashed line. One-sigma thermal noise bars are shown
in the top left and right corners respectively.
The discovery of molecular gas in this galaxy surprised many members of the high redshift CO community because the quantity of its CO content implied an equally enormous amount of dust which is so far not observed using sub-millimetre telescopes. The inherent difficulty involved in high-redshift CO observations, coupled to a limited amount of time allocated to observe such targets, has caused astronomers to fine-tune their samples of galaxies in order to maximise the chances of success. Since molecular gas and dust are both by-products of star formation, and generally trace each other well, the traditional selection technique has been to observe only the immensely dusty objects on the premise that they will be the only ones with equivalently enormous amounts of CO. In fact, the massive content of molecular gas in TN J0924-2201 was discovered in spite of its lack of dust. This is the third such object where molecular gas has been detected without pre-selection on dust, hinting that many more such galaxies remain to be discovered.
I Klamer (University of Sydney), R. D Ekers (ATNF), R W Hunstead (University of
Sydney) and E M Sadler (University of Sydney)
(klamer@physics.usyd.edu.au))