Расчет главного привода непрерывного стана холодной прокатки листа
4. Расчет главного привода непрерывного стана холодной прокатки листа. Расчет главного привода начинают с предварительного выбора двигателя на основании статических моментов по формуле (36) . Проверочный расчет двигателя выполняют для приводов, работающих с ускорением в процессе прокатки одной полосы. Проверочный расчет двигателя на нагрев и перегрузочную способность проводится на основании скоростного режима прокатки и нагрузочной диаграммы моментов [10; 11]. 4.1. Расчет скоростного режима прокатки Расчет выполняется с учетом того, что прокатываемая полоса состоит из трех рулонов с двумя сварными швами. Прокатка переднего конца полосы и сварных швов от 1 клети до моталки и заднего конца полосы ведется на заправочной скорости (рис.13). Неперекрываемое время цикла tц, т.е. время от начала прокатки одного рулона до начала прокатки следующего рулона определяют из выражения [12], tц=t1+t2+3(t3+t5+t6+t7)+t4+t8, c, (64) где t1 - время установки рулона на разматыватель; t 2 - время захвата переднего конца полосы отгибателем и подача его в первую клеть; t3 - время прохождения переднего конца полосы и сварных швов от первой клети до моталки на заправочной скорости; t4 - время закрепления переднего конца рулона в моталке; t5 - время разгона привода до рабочей скорости; t6 - время прокатки на рабочей скорости; t7 - время торможения привода с рабочей скорости до заправочной; t8 - время прокатки заднего конца полосы на заправочной скорости; t9 - время снятия рулона с барабана моталки. Эта операция совпадает во времени с установкой рулона на разматыватель и захватом переднего конца полосы; (t1+t2)>t9, поэтому время t9 не входит в неперекрываемое время цикла. Время прохождения переднего конца полосы и сварных швов на заправочной скорости от первой клети до моталки определяют по формуле [12]: t3=L12/Vз1+L23/Vз2+L34/Vз3+L4м/Vз4, c , (65) где: L12,L23,L34 - расстояние между клетями, м; L4м - расстояние между последней клетью и моталкой, м; Vз1,Vз2,Vз3,Vз4 -заправочные скорости клетей, м/с. Заправочные скорости каждой клети определяют исходя из условия постоянства секундных объемов металла во всех клетях [2], при известной заправочной скорости последней клети Vз4: Vз1h1=Vз2h2=Vз3h3=Vз4h4, (66) где h1,h2,h3,h4-толщина полосы на выходе соответствующей клети, м. Время закрепления конца рулона в моталке, t4
где Dб - диаметр барабана моталки, м;
k - количество витков , необходимое для закрепления конца полосы на барабане моталки .
После закрепления конца рулона на барабане моталки привод всех клетей разгоняется до рабочей скорости с ускорением a. Перед прохождением сварных швов привод замедляется до заправочной скорости, а после прохождения шва снова разгоняется до рабочей скорости. Ускорение привода последней клети а4, м/с2 ; замедление - b4 , м/с2 ; рабочая скорость Vр4 , м/с.
Ускорение, замедление и рабочую скорость привода остальных клетей определяют на основании равенства секундных объемов металла во всех клетях:
Vр1h1=Vр2h2=Vр3h3=Vр4h4 ; (68)
a1h1=a2h2=a3h3=a4h4 ; (69)
b1h1=b2h2=b3h3=b4h4 . (70)
Время разгона привода до рабочей скорости,
t5=(Vpi-Vзi)/ai , c , (71)
где Vpi, Vзi, ai - рабочая и заправочная скорости, ускорение привода соответствующей клети (i - номер клети).
Время торможения привода с рабочей скорости,
t7=(Vpi-Vзi)/bi, c . (72)
Время прокатки на постоянной рабочей скорости,
t6=l6i/3Vpi , c , (73)
где l6i- длина полосы после i-й клети, прокатанная на рабочей скорости Vpi.
Величину l6i определяют по формуле,
l6i=li-[3(l3i+l5i+l7i)+l8i] , м . (74)
Общая длина полосы на выходе i-той клети,
li=3m/γhibi , (75)
где m - масса одного рулона, т;
γ - плотность металла, т/м3 ;
hi,bi - толщина и ширина полосы, м.
Длина полосы, прокатанная на заправочной скорости (для примера i=2),
lз2=L23+L34h3/h2+(L4м+kπDб)h4/h2, м . (76)
Длина полосы, прокатанная при разгоне привода,
l5i=(Vзi+Vрi)t5/2 , м . (77)
Длина полосы, прокатанная при замедлении привода,
l7i=(Vpi+V3i)t7/2, м . (78)
Длина заднего конца полосы, прокатанного в i-й клети на заправочной скорости (для примера i=2) ,
l82=Lp1*h0/h2+L12*h1/h2, м , (79)
где Lp1- расстояние между разматывателем и первой клетью, м.
Время прокатки заднего конца полосы ,
t8=l8/Vзi, c . (80)
Время паузы tn=t1+t2, c.
Рассчитав по формулам (37-52) параметры скоростного режима прокатки, строят график Vi=f(t).
На графике рис.13 показаны линейные скорости валков Vн и Vmax , соответствующие номинальной и максимальной скорости вращения двигателя:
Vн=πDpnн/60i , м/с; Vmax=πDpnmax/60i, м/с, (81)
Где nн, nmax - номинальная и максимальная скорость вращения двигателя, об/мин;
i - передаточное число редуктора.

Рис.13. График скоростей и моментов главного привода непрерывного стана холодной прокатки.
4.2. Расчет нагрузочной диаграммы моментов
На непрерывных станах холодной прокатки процесс прокатки ведут с натяжением. На полосу со стороны входа металла в валки действует заднее натяжение и со стороны выхода металла из валков действует переднее натяжение. Поэтому момент прокатки на этих станах определяют по формуле,
Мпр=М0-ТпDp/2+Tз(Dp/2)(hi+1/hi), Нм, (82)
где М0 - момент свободной прокатки и сил трения, Нм;
Тз - заднее напряжение, Н;
Тn - переднее напряжение, Н;
hi - толщина полосы на входе клети, м;
hi+1 - толщина полосы на выходе клети, м.
Вращающий момент двигателя главного привода стана холодной прокатки в общем случае складывается из трех составляющих,
М=Мпр+Мхх+Мд, (83)
где Мпр - момент прокатки и добавочных сил трения;
Мхх - момент, необходимый для привода стана на холостом ходу;
Мд - динамический момент.
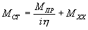
Момент прокатки и момент холостого хода составляют статический момент. Момент прокатки приводят к валу двигателя:
, (84)
где i - передаточное число редуктора;
h - КПД редуктора, шестеренной клети и шпинделей,
, (85)
КПД редуктора
=0,95-0,98 для каждой ступени;
КПД шестеренной клети
=0,92-0,95;
КПД шпинделей и муфт
=0,99.
При прокате на заправочной скорости момент двигателя равен статическому моменту: М1=Мст.
При ускорении привода добавляется динамический момент:
М2=Мст+Мд,
где
, Нм ; (86)
GD2 - маховый момент привода и стана, Нм2 ;
а - ускорение, об/мин /с.
При прокатке на скорости выше номинальной скорости двигателя определяют скорректированный момент:
М"ст=Мст(Vp/Vн); М"д=Мд(Vp/Vн) (87)
Вращающий момент Мз=М"ст+М"д .
При прокатке на рабочей скорости,
М4=М"ст.
При замедлении привода вращающий момент определяют по формулам:
при Vp>Vн М5=М"ст+М"дз;
при Vp
где Мдз - динамический момент привода при замедлении,
Мдз=-GD2b/375 , (88)
b-замедление , об/мин/с.
На основании полученных расчетных моментов строят нагрузочные диаграммы моментов, Мст=f(t) , Mд=f(t) , M
Σ=f(t) (см. рис.11).4.3. Проверка двигателя по нагреву
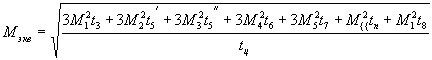
Эквивалентный (среднеквадратичный) момент определяют по
нагрузочной диаграмме моментов M
Σ=f(t):
, Нм, (89)
где
- время разгона привода до номинальной скорости,
, с ; (90)
- время разгона привода от номинальной скорости до рабочей,
, с.
Для участков диаграммы, где момент изменяется по линейному закону,
.
Определяют номинальный момент двигателя Мн по паспортным данным (формула 21).
Если
, то двигатель по нагреву выбран правильно. Если
- Проверка двигателя на перегрузочную способность.
Из нагрузочной диаграммы выбирают максимальный момент двигателя М
max, ![]()
где l
Н - перегрузочная способность двигателя при скорости от 0 до Nн, взятая из паспортных данных. Если перегрузка двигателя окажется больше Ян , то следует уменьшить рабочую скорость или ускорение привода.ї Самарский государственный аэрокосмический университет, 2000-2002
Воспроизведение материалов только с согласия авторов
Заметили ошибку в тексте? Выделите ее мышкой и нажмите Ctrl+Enter



