Документ взят из кэша поисковой машины. Адрес оригинального документа : http://www.protein.bio.msu.ru/~akula/coh/Coh.htm
Дата изменения: Sat Dec 26 17:21:10 2009
Дата индексирования: Mon Oct 1 19:51:23 2012
Кодировка: Windows-1251
CONAN-m

Об информативности когерентного анализа в исследованиях ЭЭГ
г Кулаичев А.П.
ссылки при цитировании: Журнал высшей нервной деятельности. 2009. 59(6): 766-775

        Инициацию внедрения математических методов в электроэнцефалографию традиционно связывают с именем Н. Винера, который в 1936 г. высказался за применение корреляционного анализа, рассматривая ЭЭГ как стационарный волновой процесс. Именно интенсивным внедрением математических методов характеризовался первый этап развития компьютерной электрофизиологии [6, с. 20-32]. Это внедрение происходило с высоким энтузиазмом физиологов и сотрудничавших с ними инженеров. Однако профессиональные математики, не видя для себя высокой научной престижности глубокого погружения в данную область, ограничивались, как правило, общими теоретическими предложениями, выражаемыми в интегральной форме. Инициативное же внедрение математических методов техническими специалистами привело к распространению в физиологической среде целого ряда некорректных и даже ошибочных методов, понятий и представлений. В первую очередь не учитывались два основных отличия ЭЭГ-сигналов от большинства сигналов физического происхождения: а) принципиальная нестационарность; б) амплитудная модулированность во всех частотных диапазонах. В особо критической степени сказанное относится к когерентному анализу, на что ранее частично уже обращалось внимание [5].
       Источники. Согласно [7, с. 138]: 'Гудманом в 1960 г. [15] была предложена, а в работе [14] впервые применена к анализу биоэлектрической активности мозга так называемая функция когерентности'. С одной стороны, в работе [15] когерентность никоим образом не рассматривается и не упоминается, а развитие методов спектрального анализа происходило задолго до этого и было резюмировано в фундаментальных монографиях таких известных авторов, как Барлетт М.С., 1955; Бендат Дж. С., 1958; Блекман Р.Б. и Тьюки Дж.В., 1959  и др. С другой стороны, формула когерентности применительно к электрофизиологии была приведена и прокомментирована (без ссылок на источники) одним из авторов работы [14] в более позднем исследовании [17]. К тому же сегодня почти никто не вспоминает, что изначально функция когерентности была разработана в 1930 г. Д. Гильбертом и Н. Винером применительно к задачам оптики и квантовой механики.
        Далее необходимо отметить, что в многочисленной специальной литературе в отношении когерентности имеется ряд недосказанностей. Так, функция когерентности процессов x(t) и y(t) (иногда она называется квадратом когерентности) обычно задается формулой:

,                 (1)
где: |Gxy(f)| - модуль комплекснозначного взаимного спектра; Gx(f), Gy(f) - спектры мощности процессов x(t) и y(t).
        В большинстве источников [1, с. 146; 7, с. 138; 10, с. 342; 13, с. 36; 17, с. 172] кроме формулы (1), тождественно равной единице, никаких уточнений не делается. И только в некоторых монографиях [11, с. 271] уточняется, что в числителе и в знаменателе имеет место усреднение по ансамблю (усреднение спектров, вычисленных на последовательных эпохах анализа). Однако нигде не конкретизируется, какой именно из нескольких возможных вариантов усреднения должен фигурировать в уточнении формулы (1).
Далее, в работе [1] после своего первого определения на с. 146 формула (1) многократно повторяется в тексте, однако необходимость усреднения по ансамблю проясняется (и к тому же достаточно опосредованно) только в специальном приложении используемых обозначений на с. 517. Еще более запутанная ситуация имеет место в работе [2]: в томе 2 на с. 138, т.е. далеко после формулы (1) на с. 112, при рассмотрении сглаженных оценок когерентности дается ссылка на корреляционные и спектральные окна в томе 1 на с. 294, которые в свою очередь ссылаются на ранее описанный на с. 289 метод сглаживания Бартлетта. Также и в работе [9, с. 463] приводится аналогичная формула когерентности, числитель которой определяется ранее преобразованием Фурье от корреляционной функции с ошибочной отсылкой к гл.3, хотя на самом деле она определяется в гл.4, с. 43 с использованием усреднения во временной области, что следует признать также очень запутанным способом указания на необходимость использования в числителе (1) комплкснозначного усреднения по ансамблю в частотной области, при этом далеко не очевидным в отношении совпадения результатов. В работе [10, с. 330] неуточненная формула когерентности (1) приводится сразу за изложением различных методов усреднения спектров, включая и метод усреднения по частотам скользящим окном (метод Даньелла [10, с. 322]), что создает ложную иллюзию применимости такого усреднения и к вычислению когерентности. Не исключено, что вычисление подобной 'псевдокогерентности' практикуется и поныне. Кроме того, в большинстве специальных монографий широко используются математические выкладки в интегральной форме, крайне далекие от реального случая ограниченных во времени и дискретизованных сигналов.
        В связи с такой запутанной ситуацией необходимо кратко рассмотреть основные математические соотношения на предельно упрощенном примере.
       Математические определения. Пусть имеются два моногармонических и центрированных процесса с некоторой частотой f
x(t)=acos2pft+bsin2pfty(t)=ccos2pft+dsin2pft .   (2)
        Если на эпохе анализа укладывается целое число периодов этих процессов, то коэффициенты a, b, c, d будут (в комплекснозначных спектрах X(f), Y(f)) действительной и мнимой частями дискретного преобразования Фурье (ДПФ) для частоты f:
X(f)=a+ib; Y(f)=c+id,  где i - мнимая единица.   (3)
        Спектры мощности этих процессов являются квадратами модулей X(f) и Y(f), т.е. квадратами их амплитудных спектров Ax(f), Ay(f):
Gx(f) = Ax(f)2 = a2+b2;  Gy(f) = Ay(f)2 = c2+d2,   (4)
а фазовые спектры задаются выражениями:
jx(f) = arctg(b/a); jy(f) = arctg(d/c).    (5)
        Отметим, что на комплексной плоскости любая спектральная составляющая, например X(f), представима вектором, длина которого определяется модулем |X(f)|, а угловое положение - фазой jx(f), при этом ее компоненты a и b есть проекции вектора на действительную и мнимую оси.
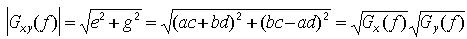
        Взаимный комплекснозначный спектр процессов x(t), y(t) определяется выражением:
Gxy(f)=e+ig ,  где e=ac+bd, g=bc-ad.     (6)
        Модуль взаимного спектра равняется произведению амплитудных спектров двух процессов:
,  (7)
а его фазовый спектр равен разности фазовых спектров двух процессов:
jxy(f) = arctg(g/e) = jx(f)-jy(f).      (8)
        Будем использовать обозначение E[:] для операции усреднения по ансамблю на непересекающихся эпохах (метод Бартлетта). Тогда одна из возможных формул усреднения для вычисления квадрата когерентности будет иметь вид:
,      (9)
где   .
        В плане отмеченных выше недосказанностей примечательно, что в явном виде формула (9) в широкодоступной литературе не встречается.
        Дискуссии относительно значимости когерентности в исследованиях ЭЭГ продолжаются и по сей день, например в работе [16] (современные 'усовершенствования' когерентного анализа заслуживают отдельного критического обсуждения), где в отличие от формулы (1), так же как и в упомянутом физиологическом первоисточнике [17], рассматривается  неквадратичная формула когерентности.
       Когерентность в технических приложениях. Методы спектрального анализа первоначально стали применяться для сигналов физического происхождения и лишь позже стали переноситься в исследования ЭЭГ. В технических же приложениях когерентность используется как сугубо второстепенная характеристика - только для оценки значимости других кросс-спектральных характеристик и для определения меры влияния на них шума и/или нелинейности. Уменьшение значений когерентности может быть вызвано следующими основными причинами [1, с. 179, 11, с. 271]:
    1) присутствие некоррелированных шумов в сигналах, определяющих нестабильность фазы кросс-спектра во времени;
    2)  наличие нелинейной связи между процессами;
    3) утечка мощности, определенная недостаточным разрешением по частоте, т. е. недостаточно длительным интервалом наблюдения;
    4) наличие временной задержки при передаче взаимодействия между двумя процессами, соизмеримой с интервалом наблюдения.
        Малые значения когерентности могут указывать на незначимость на данной частоте других кросс-спектральных характеристик или являться признаком необходимости увеличения числа усреднений для ликвидации влияния шума.
        Кардинальное отличие состоит в том, что в сигналах физического происхождения часто действительно присутствуют стационарные гармоники, создаваемые реальными источниками: радиостанциями, работающими на собственной несущей частоте; погрешностями геометрии движущихся частей механизма, вызывающие при работе вибрации и т.п. Записывая радиофон в разных точках, в любой момент времени на частоте конкретной радиостанции мы будем иметь фиксированную разность фаз (определенную удалением точек измерения от источника). Если же на этой частоте присутствует радиошум, то кросс-фаза этой гармоники будет в той или иной степени меняться, и когерентность позволяет оценить такую вариабельность, а увеличение усреднений позволяют ее снизить.
        В мозге же действительно не существует ни гармонических осцилляторов, ни стационарно отражающихся на ЭЭГ. Произвольно разбивая частотную полосу на спектральные линии (определяемые длиной эпохи анализа), в результате Фурье-преобразования мы получаем псевдогармоники как следствие интерференции множества неконтролируемых и неизвестных факторов, и эти гармоники изменяются от эпохи к эпохе. Это в первую очередь отражается на мгновенных автоспектрах, где для каждой гармоники на границе двух соседних анализируемых эпох имеет место не плавный переход, но резкие, случайные скачки амплитуды, а следовательно, - и фазы. Отсюда эти скачки воспроизводятся в кросс-фазе двух процессов и в значениях когерентности.
        Резюмируя, можно заключить, что большое и самостоятельное значение, которое приобрела когерентность в исследованиях ЭЭГ по сравнению со второстепенным ее приложением в области-первоисточнике, не представляется обоснованным. Когерентность была разработана для решения других задач и базируется на других предпосылках, поэтому для ЭЭГ-приложений с самого начала следовало бы искать и конструировать более адекватные и надежные показатели.
        Риторический вопрос: как можно пользоваться инструментом в области, где не соблюдаются предпосылки, положенные в основу создания этого инструмента?

       Потребности электрофизиологии. В физиологии ВНД важно иметь надежные оценки различных аспектов синхронизма ЭЭГ-процессов. В случае высокого синхронизма можно затем предполагать и верифицировать наличие различных форм физиологической связи процессов: влияние одного процесса на другой, влияние на них общего источника, искать топографические паттерны высокосинхронных связей с целью дифференциации функциональных состояний, личностных особенностей, нормы и патологии, влияния медикаментозных препаратов и т.п.
        Привлечение когерентности для таких целей, по-видимому, в значительной степени было определено повторяющимся в литературе и недостаточно аргументированным утверждением о том, что когерентность в частотной области является аналогом коэффициента корреляции Пирсона во временной области [2, с. 112; 10, с. 342; 11, с. 270; 13; с. 36; 17, с. 172]. Как дважды будет показано далее, подобные утверждения существенно далеки от действительности. Здесь же, в частности, отметим, что: а) когерентность (1) можно соотнести только с квадратом коэффициента корреляции, который в практике крайне редко используется; б) в отличие от когерентности диапазон значений коэффициента корреляции составляет от -1 до +1.
       Интерпретация когерентности. Формула (9) не позволяет дать прямую и наглядную содержательную интерпретацию когерентности. Поэтому рассмотрим другое допустимое уточнение формулы (1) [6, с. 196], знаменатель которого преобразуем по соотношению (7):

,     (10)
которую для отличия от g2 далее будем называть фазовой когерентностью (отметим, что именно такой порядок усреднения следует из иллюстрации [11, с. 270] сложения векторов кросс-спектра в комплексной плоскости).
         Эта оценка является хорошим приближением к g2: а) корреляция между ними в диапазоне g2=0-1 превышает 0.95; б) средняя разность значений составляет менее 0.074. Наряду с этим оценка g'2 допускает наглядную интерпретацию [11, с. 270]: в числителе мы имеем геометрическую сумму векторов кросс-спектра на последовательных эпохах анализа, в знаменателе - арифметическую сумму длин векторов. Поэтому чем более случайно меняется фаза кросс-спектра, тем меньше будет числитель по сравнению со знаменателем. Чем более стабильна фаза кросс-спектра, тем числитель будет ближе по величине к знаменателю. Тем самым фазовая когерентность является лучшим индикатором стабильности/нестабильности разности фаз (8) двух процессов.
         Когерентность g2 частично наследует это свойство отражения синхронизма, но ее значения зависят не только от стабильности разности фаз двух процессов, но и от стабильности их амплитуд, причем достаточно сложным образом. Несмотря на эквивалентность знаменателей в (9) и (10) по соотношению (7), они различаются в порядке усреднения. В силу этого (как иллюстрирует ниже числовой пример табл. 1) знаменатель в (9) при увеличении амплитудной вариабельности процессов в отличие от знаменателя в (10) уменьшается не пропорционально числителю, а в прогрессирующе меньшей степени.
        В качестве простого примера (табл. 1) рассмотрим две последовательные эпохи в процессах x(t) и y(t) с тремя вариантами (? 1-3) соотношения их амплитуд. Во всех вариантах на эпохе 2 происходит изменение фазы кросс-спектра на 90 град. (в эпохе 1 вектор автоспектра процесса x(t) имеет фазу 0 град., на эпохе 2 - фазу 90 град., а вектор автоспектра процесса y(t) на обеих эпохах сохраняет свою фазу 90 град.).  Если амплитуды процессов на обоих эпохах равны (вариант ?1), то обе формулы (9), (10) дают одинаковый результат g2=g'2=0.5, что исчерпывающе отражает скачок на 90 град. разности фаз процессов на двух последовательных эпохах. В случае же двукратного уменьшения амплитуд процессов на эпохе 2 (вариант ?2) получаем g2=0.68, а при 4-кратном уменьшении  (вариант ?3) - g2 = 0.889 (в отличие от постоянства g'2=0.5).
Таблица 1. Зависимость когерентности от амплитудно-фазовых соотношений спектров двух моногармонических сигналов
        Тем самым когерентность g2 дает завышенные оценки в отношении степени синхронизма процессов, причем со сложной зависимостью от степени их амплитудной вариабельности. Этим когерентность принципиально отличается от коэффициента корреляции как устойчивого индикатора линейной связи двух парных переменных, не зависящего от соотношения диапазонов их значений.
        Поскольку же амплитуда спектральных гармоник для ЭЭГ-процессов существенно варьируется даже на коротких временных отрезках, то можно сделать вывод, что когерентность g2 является плохим числовым индикатором степени синхронизма ЭЭГ-процессов (отметим, что фазовая когерентность g'2 по остальным рассматриваемым ниже погрешностям ничем не лучше g2).
        Риторический вопрос: как можно пользоваться инструментом, который измеряет то ли мягкое, то ли теплое, то ли сладкое, то ли их разность, то ли произведение?

       Погрешности спектрального анализа. Одной из главных погрешностей дискретного преобразования Фурье (ДПФ) считается эффект утечки или вытекания мощности из спектральных пиков на соседние спектральные линии. Для его уменьшения в технических приложениях используются различные корректирующие окна, и эта методика была некритически перенесена и в электрофизиологию. Однако, в работе [6, с. 200] показано, что окна оказывают на спектральные пики двоякий эффект: они стягивают размытые пики, но размывают хорошо локализованные пики. Поэтому в исследованиях ЭЭГ более корректным для вычисления средних и максимальных амплитуд спектра является использование предварительной фильтрации сигнала в анализируемом диапазоне, исключающей утечку и модуляционные пики из соседних диапазонов.
        Однако эффект утечки зависит от соотношения периода гармоники и эпохи анализа [6, с. 200]: при целом числе периодов гармоники на эпохи анализа утечка отсутствует, при полуцелом числе периодов гармоники на эпохи анализа утечка максимальна. Кроме того, даже в последнем случае утечка уменьшается обратно пропорционально удалению от основного пика. Вместе с тем существует и еще одно, не замеченное ранее и существенное искажение спектра, связанное с амплитудной модуляцией, присущей всем ЭЭГ-сигналам. Этот  эффект [6, с. 187] проявляется в появлении двух симметричных боковых пиков, достигающих 40% и более от амплитуды центрального пика и отстоящих от него на число спектральных линий, равных числу наблюдаемых периодов модуляции сигнала  (это имеет место для моногармонического сигнала, а картина для реальной ЭЭГ будет значительно сложнее).
Эти две основные погрешности вызывают в спектрах дополнительные (к отмеченным выше) случайные флюктуации, особо визуально выраженные при высоком частотном разрешении. Таким флюктуациям в большей степени подвержены фазовые спектры в отличие от амплитудных спектров.

а)
б)в) г)
Рис. 1. Типичный вид спектров ЭЭГ: а - затылочные отведения ЭЭГ с высоким содержанием альфа-ритма (фрагмент записи 9 с), частота дискретизации 128 Гц, аналоговые фильтры с полосой пропускания 0.5-32 Гц, общая длительность записи 64 с; б - амплитудный кросс-спектр (одна эпоха 8 с); в - фазовый кросс-спектр (одна эпоха 8 с); г - спектр когерентности (усреднение по 8 эпохам).

       На рис. 1, а приведен небольшой фрагмент типичной и продолжительной ЭЭГ-записи с высоким содержанием альфа-ритма в затылочных отведениях. На рис. 1, б приведен амплитудный кросс-спектр между этими двумя процессами на эпохе анализа 8 с, где выделяется высокоамплитудный пик на основной частоте альфа-ритма 9 Гц. Заметно также присутствие низкоамплитудных случайных флюктуаций во всем частотном диапазоне. На рис. 1, в, г приведены фазовый кросс-спектр и спектр когерентности, в которых уже полностью преобладают случайные флюктуации и не прослеживается отчетливой частотной закономерности. На рис. 2 приведен график изменения фазы кросс-спектра на основной частоте альфа-ритма 9 Гц для 32 последовательных эпох. Видно, что фаза (стабильность которой в значительной степени отражает когерентность) по эпохам случайно и резко колеблется в широком диапазоне +-160 град. Подобный случайно-флюктуационный характер колебаний когерентности и фазы типичен для иллюстраций, приводимых в физиологических публикациях [8, c. 68-82; 12, с. 29; 13, с. 134-137 и др.]. Ничуть не лучше обстоит дело с усредненными значениями когерентности (см. далее).


Рис. 2. Изменение фазы кросс-спектра (рис. 1, в) для доминирующей частоты альфа-ритма 9 Гц (рис. 1, б) на 32 последовательных эпохах длительностью 2 с.

        Следует также отметить резкое снижение точности вычислений для малых амплитуд сигнала, характерных для высокочастотных диапазонов, в связи с ограничением разрядной сетки целочисленного представления результатов аналого-цифрового преобразования - малые по амплитуде гармоники представлены в самых младших разрядах сетки. Это сказывается сначала на точности вычислений амплитуд автоспектров и кросс-спектров, а затем, и в большей степени, - на значениях когерентности. Этот эффект является еще одной из погрешностей когерентного анализа (в этом плане нас не должны смущать высокоразрядные (до 24 двоичных разрядов) современные АЦП, использующие принцип дельта-сигма преобразования; такие АЦП регистрируют все сигналы окружающего пространства и главным образом - высокоамплитудную сетевую наводку, после ее удаления посредством цифровой фильтрации выделенный ЭЭГ-сигнал локализуется, как правило, в 8-12 младших разрядах).
        Тем самым когерентность демонстрирует крайне высокую степень зависимости от случайных флюктуаций, вызванных основными инструментальными погрешностями ДПФ и свойствами самих ЭЭГ-процессов. Это также не позволяет рассматривать когерентность в качестве информативного показателя для оценки степени синхронизма ЭЭГ-процессов.
        Риторический вопрос: как можно пользоваться инструментом, подверженным стольким случайным погрешностям?

       Зависимость от уровня шума. Важным и не рассмотренным в литературе вопросом является выяснение зависимости когерентности от уровня шума в анализируемых сигналах. Используем для этого метод статистического моделирования, идея которого предельно проста. Мгновенные спектры X(f), Y(f) моногармонических процессов x(t) и y(t) генерируются в результате геометрической суммы двух составляющих: а) детерминированного вектора длины r в диапазоне значений r = 0-1 с фиксированным фазовым углом (например, 0 град.); б) случайного вектора длины 1-r с фазовым углом, случайно выбираемым в диапазоне 0-360 град. Каждое значение когерентности вычисляется усреднением по 30 парам таких мгновенных спектров, среднее значение вычисляется по 1000 таким образом полученным  g2.


Рис. 3. Зависимость значений когерентности (1) и коэффициента корреляции (2) от процентного содержания шума в сигнале.

        Зависимость среднего значения g2 от содержания шума в сигналах (0-r)% приведена на рис. 3, и этот график позволяет сделать следующие очевидные выводы: 1) S-образный характер зависимости принципиально отличает когерентность от коэффициента корреляции, зависимость которого от уровня шума имеет преимущественно линейный характер; 2) при уровне шума более 60% зависимость практически выполаживается, поэтому в этом диапазоне g2 не может служить индикатором содержания шума или степени десинхронизма ЭЭГ-процессов; 3) удовлетворительным индикатором содержания шума g2 может быть только в узком диапазоне приблизительно линейной зависимости от шума: 20-60%; 4) при наличии в сигналах шума более 30-40% становится проблематичным обоснованное утверждение о высоком синхронизме ЭЭГ-процессов, тем самым приемлемыми в этом плане могут быть лишь значения  g2>0.7.
        Эти выводы дополняются данными работы [1, с. 308] о необходимом числе усреднений n для получения достоверных значений g2 с ошибкой менее +-0.1 в зависимости от истинного значения g2 (табл. 2). Поскольку в связи с нестационарностью ЭЭГ-процессов на продолжительных временных интервалах число усреднений для вычисления когерентности обычно не превосходит 10, то отсюда следует, что удовлетворительно достоверными могут считаться лишь значения g2>0.8.

Таблица 2. Истинные значения когерентности g2 и число усредняемых ансамблей n,
необходимых для получения оценки истинного значения g2 с ошибкой не более +-0.1

        Однако в научных публикациях обсуждаются экспериментально полученные оценки когерентности, обычно находящиеся в диапазоне 0.1-0.8, и именно по ним делаются физиологические выводы. Поэтому такие выводы имеют крайне посредственное отношение к оценке степени синхронизма ЭЭГ-процессов.
        Риторический вопрос: как можно пользоваться эталоном длины, размер которого нелинейно меняется в зависимости от измеряемого расстояния?

       Компьютерные анализаторы. Как же обстоит дело с вычислением когерентности в представленных на рынке многочисленных и разнородных программных пакетах? Мы конфиденциально опросили ряд ведущих и старейших производителей ЭЭГ-анализаторов (Москва, Санкт-Петербург, Таганрог, Иваново, Харьков) об используемых ими алгоритмах вычисления когерентности и получили далеко не 100%-но совпадающие ответы.
        Проведенное тестирование нескольких пакетов на одинаковых ЭЭГ-записях показало (унификация тестирования осложняется несовместимостью пакетов по обмену записями в международном EDF-формате), что о соответствии спектров когерентности можно говорить лишь в плане их интегральных характеристик (один из примеров сравнения приведен на рис. 4): монотонный или многопиковый характер, сосредоточение высоких или низких значений в определенных частотных диапазонах, приблизительное совпадение частотной локализации отдельных пиков. Другие же качественные характеристики, а также количественные оценки существенно различаются. Это, видимо, определено зависимостью значений когерентности от множества недекларированных и нерегулируемых в пакетах параметров: от квадратичного или неквадратичного варианта вычислений, от длины эпохи анализа, от числа усредняемых эпох, от величины временного сдвига между эпохами, от применяемого корректирующего окна, от характера завершающего сглаживания функции когерентности и др.


Рис. 4. Спектры когерентности, вычисленные на трех ЭЭГ-анализаторах, эпоха 4 с, усреднение 16 эпох.

          Риторический вопрос: как можно пользоваться инструментом, для которого не существует эталонов, а различные его реализации дают различные и несопоставимые результаты?

        Пример зависимости спектра когерентности от длины усредняемых эпох и корректирующего окна приведен на рис. 5. Как нетрудно заметить, результаты существенно различаются по расположению, форме и амплитуде доминирующих пиков.


Рис. 5. Зависимость когерентности от длины эпохи анализа Т и корректирующего окна (усреднение 16 эпох), сверху-вниз: Т=4 с; Т=2 с; Т=2 с + корректирующее окно Ханна.

   На рис. 6 приведены графики средних значений когерентности в стандартных частотных диапазонах, вычисленные для спектров рис. 5. Видно, что вариационный размах значений когерентности очень велик - его отношение к максимальным значениям доходит до 28-36% (в дельта-, тета- и бета1-диапазонах). Тем самым средние значения когерентности, вычисленные при различных значениях установочных параметров, количественно несопоставимы. Эффект вариабельности еще более усиливается при вычислении средних значений когерентности по группе испытуемых [8, с. 71, 74], когда большинство парных различий когерентности на фоне больших стандартных отклонений являются статистически недостоверными.


Рис. 6. Вариабельность средних значений когерентности в частотных диапазонах в зависимости от длины эпохи анализа и корректирующего окна (усреднение 16 эпох): 1 - Т=4 с; 2 - Т=2 с; 3 - Т=2 с + корректирующее окно Ханна.

          Риторический вопрос: как можно пользоваться инструментом, результаты измерения которым зависят от положения многих регулировочных ручек?

        Следует также отметить, что в последние годы в практику стали внедряться и новые методы спектрального анализа на основе вайвлетов, результаты которого еще более кардинально (как количественно, так и качественно) отличаются от результатов, полученных с использованием традиционного ДПФ, а следовательно, и от всего их накопленного за многие десятилетия многообразия.
        Таким образом, результаты когерентного анализа, полученные в различных программных пакетах и при различных значениях установочных параметров, равно как и производимые на их основе научные выводы плохо сопоставимы как качественно, так и количественно.

       Выводы.Из произведенного многостороннего анализа принципиальных недостатков функции когерентности: подверженность влиянию множества неконтролируемых случайных факторов, неадекватность задачам исследования ЭЭГ, зависимость от ряда регулировочных параметров, нелинейность зависимости от уровня шума, зависимость от фазовой и амплитудной вариабельности, несопоставимость получаемых результатов и др. следует, что эта числовая характеристика с метрологических позиций никоим образом не может быть квалифицирована в качестве измерительного инструмента в современном понимании этого термина.
       Альтернативы. В последние годы внимание многих исследователей привлекает парадигма кусочно-стационарной структуры ЭЭГ [3], исходя из которой запись ЭЭГ с использованием различных подходов структурируется на сегменты относительной стационарности и ищутся критерии синхронности временной динамики таких сегментных структур. Один из перспективных подходов в этом направлении [4 и др.] базируется на сегментации по участкам увеличения-уменьшения амплитудной модуляции сигналов с оценкой синхронности двух отведений по проценту совпадающих межсегментных переходов (алгоритмическая реализация метода изложена в работе [6, с. 227-230, 251-254]). Другой подход состоит в использовании коэффициента корреляции Пирсона для оценки синхронности модуляционной ритмики ЭЭГ на выбранном временном интервале. В настоящее время оба метода всесторонне апробируются, и предварительные результаты свидетельствуют о их многоплановой эффективности и перспективности.

 СПИСОК ЛИТЕРАТУРЫ

1.  Бендат Дж., Пирсол А. Измерение и анализ случайных процессов. М.: Мир, 1971. 540 с.
2.  Дженкинс Г., Ваттс Д. Спектральный анализ и его приложения. Т.1,2. М.: Мир, 1971. 316 с. - 285 с.
3.  Каплан А.Я. Нестационарность ЭЭГ: методологический и экспериментальный анализ. Успехи. физиол. наук. 1998. 29(3): 35-55.
4.  Каплан А.Я., Борисов С.В., Шишкин С.Л., Ермолаев В.А. Анализ сегментной структуры альфа-активности ЭЭГ человека. Рос. физиол. журн. 2002. 4: 84-95.
5.  Кулаичев А.П. Некоторые методические проблемы частотного анализа ЭЭГ. Журн. высш. нерв. деят. 1997. 47 (5): 918-926.
6.  Кулаичев А.П. Компьютерная электрофизиология и функциональная диагностика. М.: ФОРУМ-ИНФРА-М, 2007. 640 с.
7.  Ливанов М.Н. Пространственно-временная организация потенциалов и системная деятельность головного мозга. М.: 'Наука', 1989. 400 с.
8.  Ливанов М.Н., Русинов В.С., Симонов П.В., Фролов М.В, Гриндель О.М., Болдырева Г.Н., Вакар Е.М., Волков В.Г., Королькова Т.А., Майорчик В.Е., Свидерская Н.Е. Диагностика и прогнозирование функционального состояния мозга человека. М.: 'Наука', 1988. 207 с.
9.  Марпл-мл. С.Л. Цифровой спектральный анализ и его приложения. М.: 'Мир', 1990. 584 с.
10.  Отнес Р., Эноксон Л. Прикладной анализ временных рядов. М.: 'Наука', 1978. 428 с.
11.  Рандалл Р.Б. Частотный анализ. Копенгаген: Брюль и Къер, 1989. 389 с.
12.  Русинов В.С., Гриндель О.М., Болдырева Г.Н., Вакар Е.М. Биопотенциалы мозга человека. М.: 'Медицина,' 1987. 256 с.
13. Труш В.Д., Кориневский А.В. ЭВМ в нейрофизиологических исследованиях. М.: 'Наука', 1978. 238 с.
14.  Adey W.R., Walter D.O. Application of phase detection and averaging techniques in computer analysis of EEG records in the cat. Exper. Neurol. 1963. 7: 186-209.
15.  Goodman N.R. Measuring amplitude and phase. J. Franklin Inst. 1960. 270: 437-450.
16.  Nolte G., Bai O., Wheaton L., Mari Z., Vorbach S., Hallett M. Identifying true brain interaction from EEG data using the imaginary part of coherency. Clin. Neurophysiol. 2004. 115: 2292-2307.
17.  Walter D.O. Spectral analysis for electroencephalograms: Mathematical determination of neurophysiological relationships from records of limited duration. Exper. Neurol. 1963. 8: 155-181.