СРАВНИТЕЛЬНЫЙ АНАЛИЗ КОРРЕЛЯЦИОННОЙ
СИНХРОННОСТИ И АМПЛИТУДНЫХ СООТНОШЕНИЙ ЭЭГ В НОЧНОМ СНЕ
г
Кулаичев А.П.
ссылки при цитировании:
Журнал высшей нервной деятельности. 2012. 62(1): 108-119
Аннотация: В
работе использован новый методический подход к оценке синхронности ЭЭГ,
основанный на корреляциях между процессами амплитудной модуляции ЭЭГ (огибающими).
Выявлены: левополушарное доминирование во всех стадиях сна, доминирование
лобных областей над затылочными, различия в соотношениях синхронности по
стадиям сна в разных частотных диапазонах, различия в закономерностях изменения
синхронности в межполушарных связях от лба к затылку, топографичские особенности
локализации высокосинхронных связей по стадиям сна и частотным диапазонам.
При анализе амплитудной топографии также выявлены левопо-лушарное доминирование
и многочисленные значимые различия в соотношениях и закономерностях изменения
ЭЭГ-активности по парасагиттальным цепочкам электродов (меридианам) как
в отношении стадий сна, так и в отношении частотных диапазонов. Сочетание
оценок корреляционной синхронности ЭЭГ с амплитудными спектральными оценками
позволило осуществить надежное дискриминантное распознавание пяти стадий
сна с числом ошибок в диапазоне 3-20%.
Ключевые слова: стадии сна, синхронность
ЭЭГ, огибающая, топографический паттерн, профиль синхронности, частотные
диапазоны, амплитудный спектр, полушарное доминирование, соотношения лоб
? затылок, дискриминантный ана-лиз, классификация.
Comparative Analysis of EEG Ccorrelation Synchronism
and EEG Amplitude Relationship in All-night Sleep
A.P. Kulaichev
Abstract: We
used a new methodological approach to the evaluation of EEG synchronization
based on correlation between amplitude modulation processes (EEG envelopes).
There are re-vealed: the left-hemispheric dominance in all stages of sleep;
the dominance of frontal regions over occipital; the differences in the
ratio of synchronization relations on sleep stages in different frequency
ranges; the differences in change regularities of inter-hemispheric synchrony
relations from frontal regions to occipital; topographical distribu-tions
of high synchronization localization in sleep stages and with respect to
frequency domains. At the analysis of amplitude topography it is also observed
left-hemispheric dominance and revelled many significant differences in
the relationships and change regularities in EEG activity during parasagittal
chains of electrodes (meridians) both in terms of sleep stages and with
respect to frequency domains. The combination of EEG synchrony estimates
with the amplitude spectral estimates allows to perform a reliable discriminant
recognition of five stages of sleep with errors not exceeding of 3-20%.
Keywords: sleep stages, EEG synchronism,
envelope, topographical pattern, profile of synchronism, frequency domain,
amplitude spectrum, hemispheric dominance, frontal-occipital relations,
discriminant analysis, classification.
В обширной литературе, посвященной исследованию сна, имеется сравнительно
мало работ, связанных с оценкой синхронности ЭЭГ. В основном обращает на
себя внимание разнобой и отсутствие системности в исследованиях и их отношение
к частным, различным, подчас несопоставимым аспектам: с упоминанием лишь
избранных стадий сна, частотных диапазонов и поддиапазонов, избранных областей
мозга и отведений [4, 6, 7, 9-11, 13-17, 27, 30]. Наиболее общим выводом
является увеличение и близость синхронности ЭЭГ в трех стадиях сна с возрастанием
медленноволновой активности в отличие от расслабленного бодрствования [7,
9, 10, 16, 20, 23]. Наибольшая неопределенность и противоречивость относится
к межполушарной асимметрии в оценках синхронности и мощности ЭЭГ: отмечается
как правополушарное доминирование [12, 16, 21], так и левополушарное [15,
21, 24], а также различное доминирование в разных стадиях сна и областях
скальпа [1, 7, 26, 27] или же отсутствие асимметрии [11, 18]. Сходная неопределенность
касается и возрастания или уменьшения межполушарных когерентных связей
(см. обзор [23]).
Поэтому представляется актуальным комплексное исследование данного вопроса
с использованием нового подхода, изложенного в работе [3]. В настоящем
исследовании, в дополнение к работе [3], мы далее продолжаем прикладное
развитие методологии комплексной системной аналитики, подробно изложенной
и иллюстрированной в монографии [2].
1. МЕТОД ИССЛЕДОВАНИЯ И ИСХОДНЫЕ ДАННЫЕ
Основой
нашего подхода является анализ корреляционной синхронности ЭЭГ (АКС), который
подробно изложен в работе [3], и в которой показаны его высокая эффективность
и плодотворность применительно к дифференциации нормы и шизофрении. Поэтому
в настоящей статье напомним лишь основные положения метода АКС. Предварительные
операции этого метода включают: 1) фильтрацию методом быстрого фурье-преобразования
в выбранном частотном диапазоне; 2) вычисление огибающей отфильтрованных
ЭЭГ-записей; 3) вычисление коэффициентов корреляции Пирсона между огибающими
ЭЭГ близлежащих пар отведений *1).
Упорядоченная по парам отведений последовательность коэффициентов корреляции
между огибающими ЭЭГ для близлежащих пар отведений названа профилем синхронности,
и именно эти профили являются исходным материалом для последующих этапов
и направлений анализа. В частности, корреляции между такими профилями служат
оценками топографической согласованности ЭЭГ-синхронизма.
Исходные
данные. В качестве исходного материала использованы
фрагменты записей сна 15 праворуких мужчин (от 18 до 34 лет), выполненные
по системе 10-20% для 16 нецентральных отведений с частотой регистрации
200 Гц, фильтрацией в полосе 0.5-40 Гц (усилитель BioTop 6R12, NEC, Япония,
референт А2, эти записи ранее уже обсуждались в работе [5]) *2)
. Для каждого испытуемого и каждой стадии сна: REM (фаза быстрых движений
глаз, rapid eyes movements),1, 2, 3/4 и стадии расслабленного бодрствования
с закрытыми глазами (стадия W, регистрировалась до и сразу после сна) имеется
по пять 20-секундных фрагментов записей ЭЭГ, оцениваемых визуально по критериям
Рехтшафена - Кале и случайно выбранных из разных циклов сна, т. е. для
каждой стадии сна исходный объем анализируемой выборки составляет 75 таких
записей. Для этих стадий и четырех стандартных частотных диапазонов (дельта,
тета, альфа, бета1) были вычислены 5-4=20 матриц профилей синхронности
огибающих ЭЭГ (столбцы - 43 пары близлежащих отведений; строки - профили
синхронности для 75 записей). Эти матрицы являются исходным материалом
для последующего анализа.
Статистические
оценки. В связи с часто имеющим место небольшим
объемом сравниваемых выборок и отличием их распределений от нормального
парные различия выявляются с использованием одно- или двухвыборочного
критерия Вилкоксона (уровни значимости ниже обозначены рw), а оценка факторных
эффектов осуществляется с использованием методов однофакторного непараметрического
дисперсионного анализа [2, с. 181-182]: Крускала - Уоллиса (уровни значимости
обозначены рk-w) или Джонкхиера (при возрастании/уменьшении факторных эффектов,
уровни значимости обозначены рjo).
2. АНАЛИЗ СОГЛАСОВАННОСТИ ДАННЫХ
Методика.
Предварительно исходные данные были подвергнуты анализу на согласованность.
Эта методика [3] включает вычисление квадратной корреляционной матрицы
профилей синхронности огибающих ЭЭГ всех записей со всеми. По такой матрице
вычисляется среднее значение коррелированности профиля каждого испытуемого
с профилями всех других испытуемых и строится вариационный ряд, по которому
выделяются выбросы, а также высоко согласованная и наиболее представительная
группа записей.
Обсуждение
результатов. В таких вариационных рядах (по
стадиям сна и частотным диапазонам) вне высокосогласованных подгрупп оказалось
большинство записей трех испытуемых. Их визуальный анализ показал отсутствие
ЭЭГ-сигнала по одному из отведений у двух испытуемых. Записи третьего испытуемого
отличались аномально низкой синхронностью в лобных и височных парах отведений
и в правой затылочной области. Тем самым анализ на согласованность еще
раз показал свою эффективность для удаления выбросов и артефактов из анализируемых
данных. Записи трех выявленных испытуемых в дальнейшем анализе не использовались,
т. е. объем анализируемой выборки по каждой стадии сна был сокращен до
60 записей.
Средняя коррелированность профилей синхронности огибающих ЭЭГ дифференцированно
по частотным диапазонам с учетом стандартных отклонений составляет: дельта=0.304+-0.052,
тета=0.558+-0.034, альфа=0.568+-0.052, бета1=0.537+-0.045. Обращает на
себя внимание: 1) сравнительно небольшие стандартные отклонения, свидетельствующие
о достаточно узких доверительных интервалах средних оценок; 2) близкие
уровни коррелированности в диапазонах тета, альфа и бета1 с отсутствием
парных различий на уровне значимости рw=0.14-0.38; 3) пониженный уровень
коррелированности в диапазоне дельта с различиями относительно других диапазонов
на уровне значимости рw<0.006. Тем самым индивидуальная вариативность
топографии ЭЭГ-синхронизма в диапазоне дельта достаточно велика по сравнению
с другими диапазонами.
Что касается средних коррелированностей по стадиям сна, то они близки по
своим значениям и составляют: REM=0.48, 1=0.46, 2=0.47, 3/4=0.51, W=0.54
с отсутствием попарных различий на уровне значимости рw=0.07-0.34. Тем
самым, индивидуальная вариативность топографии ЭЭГ-синхронизма во всех
стадиях сна находится приблизительно на одинаковом уровне.
3. ТОПОГРАФИЯ ЭЭГ-СИНХРОНИЗМА
Обратимся к анализу топографии высокосинхронных связей, вычисленных методом
АКС (раздел 1). Для этого оценим среднюю синхронность огибающих ЭЭГ по
каждой паре отведений (столбцы в матрицах синхронности) дифференцированно
по частотным диапазонам и стадиям сна.
Соотношения
по областям скальпа. В верхней части табл.1
приведены средние значения и стандартные отклонения таких средних оценок
дифференцированно по областям головного мозга и частотным диапазонам для
всех стадий сна. Прежде всего, обращает на себя внимание следующее:
-
левополушарное доминирование по всем частотным
диапазонам (табл.1, строки 2, 4, объем выборок 13 пар отведений) с различиями
вдиапазонах дельта и бета (табл.1, строка 4); двухфакторный дисперсионный
анализ (факторы: частотный диапазон и полушарие) выявляет влияние фактора
полушария на уровне значимости р<10-8; при этом левостороннее
доминирование наблюдается не только в целом, но и в каждой стадии сна;
-
более высокий синхронизм в лобно-центральной области
по сравнению с теменно-затылочной областью (табл.1, строки 5, 6, объем
выборок 11 пар отведений) со статистически значимыми различиями в диапазонах
тета и альфа (табл.1, строка 7); двухфакторный дисперсионный анализ выявляет
влияние фактора лобного доминирования на уровне значимости р<10-9;
-
средние синхронности в каждой группе отведений
по частотным диапазонам близки по величине с отсутствием различий: рw=0.13-0.49.
Таблица 1. Усредненные по отведениям оценки
корреляционной синхронности (+- стандартное отклонение), обозначения: REM
- стадия быстрых движений глаз; 1, 2, 3/4 - стадии в порядке углубления
сна; W - стадия пассивного бодрствования.
Соотношения
по стадиям сна. В нижней части табл.1 приведены
аналогичные оценки дифференцированно по стадиям сна (объем выборок - 43
пары отведений). Здесь можно отметить следующее:
-
снижение синхронности огибающих ЭЭГ в диапазоне
альфа REM-стадии относительно других диапазонов и стадий (рw<0.019);
-
практически одинаковая синхронность в стадии 1
по всем диапазонам;
-
повышение синхронности в диапазонах дельта и альфа
в стадиях 2 и 3/4 относительно других стадий и диапазонов без статистически
значимых различий;
-
снижение синхронности в диапазоне тета для стадии
3/4 относительно других стадий и диапазонов (рw<0.05);
-
снижение синхронности в диапазонах дельта и бета
в стадии W относительно других стадий и диапазонов (рw<0.019) с более
высокой синхронностью в диапазоне тета для этой стадии (рw<0.05).
Тем самым распространенный в публикациях общий
вывод об увеличении и близости ЭЭГ-синхронизма в трех стадиях сна по сравнению
с расслабленным бодрствованием подтверждается лишь частично, за исключением
диапазона тета и стадии 1 для диапазонов дельта и альфа.
Межполушарные
связи. Обратимся теперь к рассмотрению соотношений
близлежащих межполушарных связей (рис. 1), где выявляются следующие закономерности.
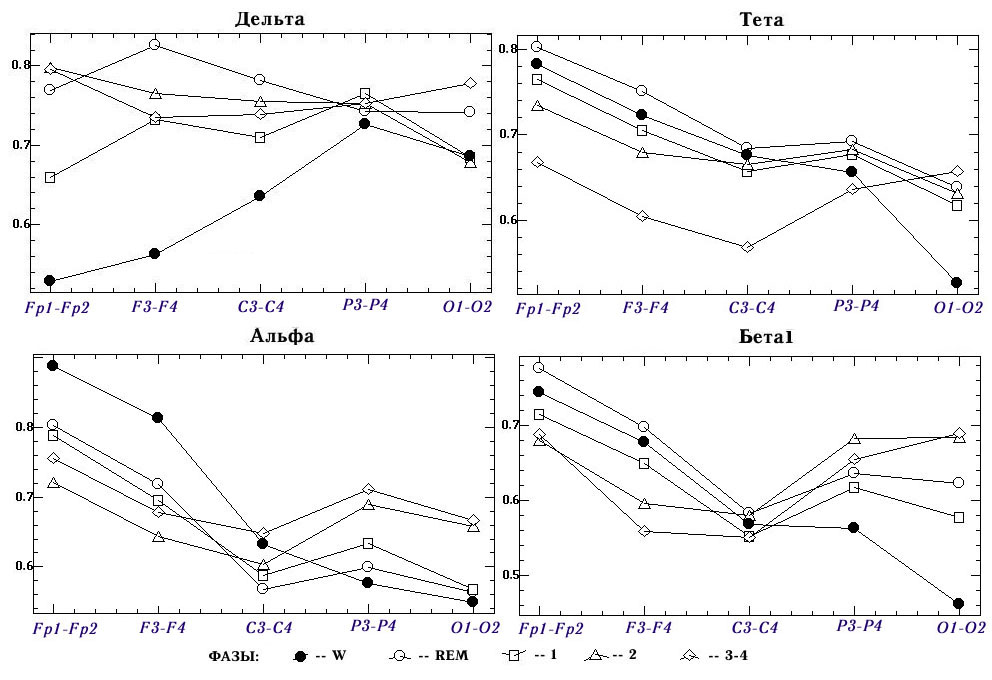
Рис.
Рис.1. Средние межполушарные корреляции по частотным диапазонам в зависимости
от стадии сна: по вертикали - значения коэффициентов корреляции, по горизонтали
- пары отведений
1.
Диапазон дельта существенно отличается от других частотных диапазонов:
в стадии W имеет место увеличение межполушарной синхронности огибающих
ЭЭГ от лба к затылку (рjo<0.0002) с меньшей синхронностью в лобных и
центральных отведениях по сравнению со четырьмя стадиями сна (рw<0.04),
которые не имеют значимых тенденций лоб-затылок (рjo>0.15) и мало различаются
между собой (рw>0.05).
2. Для других частотных диапазонов показательно последовательное уменьшение
синхронности от лобных к центральным отведениям (рjo<0.00005), а для
диапазона тета (кроме стадии 3/4) - и от теменных к затылочным отведениям
(рw<0.00001).
3. Понижение синхронности в центральной паре отведений, проявляющееся во
всех 4-х стадиях сна и особенно ярко - в стадии 3/4: а) по сравнению с
лобными отведениями (рjo<0.00003); б) по сравнению с теменными отведениями
в диапазонах альфа и бета (рw<0.03); в) по сравнению с затылочными отведениями
в диапазоне бета (рw<0.005, кроме стадии 1); такие тенденции могут быть
связаны со снижением двигательной активности и мышечной афферентации.
4. Последовательное уменьшение синхронности от лба к затылку в стадии W
(рjo<0.00001) . Аналогичная закономерность была обнаружена нами на совершенно
другом экспериментальном материале [3]: подростки 11-14 лет, две группы:
норма и шизофрения, проба 'закрытые глаза'. И это показывает, что метод
АКС обладает достаточной точностью и чувствительностью, чтобы давать одинаковые
результаты на принципиально разном экспериментальном материале.
5. Последовательное снижение синхронности в лобной области (рjo<0.0006)
и повышение синхронности в теменной-затылочной области (рjo<0.0003,
кроме диапазона тета) как с углублением сна, так и по отношению к стадиям
W и REM.
Высокосинхронные
связи. В завершение данного раздела обратимся
к сравнительному изучению топографии высоких средних корреляционных связей
(0.7-0.85) огибающих ЭЭГ по частотным диапазонам и стадиям сна (рис. 2).
Рис. 2. Топографическое распределение высокосинхронных
связей между парами отведений по частотным диапазонам и стадиям сна
1.
Диапазон дельта. В стадии REM превалирует межполушарная синхронность
огибающих ЭЭГ и синхронность в лобно-центральных отведениях. В стадии 1
центр синхронности смещается к теменной зоне с небольшим преобладанием
в левом полушарии. В стадии 2 подобное распределение синхронности усиливается.
В стадии 3/4 топография стадии 2 распространяется на височно-затылочные
отведения с небольшим доминированием в левом полушарии. В стадии W доминирует
левосторонняя асимметрия по большинству пар отведений при отсутствии значительной
межполушарной синхронности.
2.
Диапазон тета. Для всех стадий сна топография высокосинхронных связей
достаточна близка. Она характеризуется превалированием лобно-центрально-теменных
связей при малой представимости межполушарных связей и с незначительной
левополушарной асимметрией.
3.
Диапазон альфа. Cтадия REM характеризуется высокой синхронностью в
лобных отведениях с некоторой асимметрией в левом полушарии в отношении
лобно-височного, лобно-центрально-теменных и височно-затылочного отведений.
Стадия W отличается аномальным усилением синхронности во всех лобных парах
отведений, включая и редко встречающиеся диагональные связи при отсутствии
высокой синхронности между центральными, теменными и затылочными отведениями.
Стадии 1, 2 и 3/4 достаточно близки по топографии синхронизма с некоторым
увеличением общей синхронности при углублении сна. Они характеризуются
малым числом межполушарных связей, превалированием парасагиттальных связей
по всему скальпу с некоторой левополушарной асимметрией.
4.
Диапазон бета1. Стадии REM, 2, 3/4 имеют близкую топографию, характеризующуюся
заметной левополушарной асимметрией, парасагиттальными связями при малых
межполушарных связях, отсутствием преобладания лобных связей. В стадии
W асимметрия снижается, а центр синхронности смещается к лобным и парасагиттальным
лобно-центрально-теменным связям. Локализация синхронности в стадии 1 плохо
выражена.
Отметим отдельные сходные закономерности, выявленные в некоторых из цитируемых
исследований: высокая когерентность в диапазонах дельта и альфа стадий
2 и 3/4 [13], высокая когерентность в диапазоне альфа стадии 3/4 и в диапазоне
бета1 стадии REM [16], минимальная когерентность в диапазоне бета1 стадии
W, максимальная когерентность в диапазоне дельта стадии 3/4 с превалированием
когерентности стадии 2 по сравнению со стадией 1 [22].
Общие
характеристики. В качестве общих характеристик
рассмотренной топографической картины синхронности огибающих ЭЭГ следует
отметить: 1) из совпадающего с результатами табл. 1: а) уменьшение межполушарной
синхронности в направлении от лобных к затылочным отведениям (14 топограмм
из 20); б) повышенный лобно-центральный синхронизм (10 из 20 топограмм);
в) повышенная левосторонняя синхронизация (12 из 20 топограмм); 2) пониженная
межполушарная синхронность (64 из 100 корреляций) по сравнению с парасагиттальными
связями; 3) малая синхронность между диагональными парами отведений (15
из 320 корреляций); 4) близкая топография высокосинхронных связей наблюдается:
в диапазоне тета по всем стадиям; в стадиях 2 и 3/4 по всем частотным диапазонам;
в диапазоне альфа по стадиям 1, 2, 3/4; в диапазоне бета по стадиям REM,
2, 3/4; 5) наибольшими различиями по всем частотным диапазонам характерна
стадия W.
Особо отметим, что результат 3 показывает, что при оценке синхронности
ЭЭГ методом АКС не выявляется нередко упоминаемый в публикациях эффект
объемного поверхностного проведения потенциалов, в противном случае при
наличии высокосинхронных сагиттальных и аксиальных связей между тремя отведениями,
диагональные связи были бы тоже высокими.
4. ТОПОГРАФИЯ АМПЛИТУДНО-СПЕКТРАЛЬНЫХ
ОЦЕНОК
Методика.
Приведенный выше анализ высокосинхронных связей огибающих ЭЭГ необходимо
дополнить анализом топографии амплитудных характеристик ЭЭГ. Выберем для
этого наиболее статистически устойчивый показатель - среднюю амплитуду
спектра в частотном диапазоне. Амплитудные спектры вычислим для 16 отведений
на всем 20-секундном временном интервале записей, что дает высокое разрешение
по частоте 0.05 Гц, а это обеспечивает приемлемую статистическую устойчивость
усредненных оценок с учетом наличия не менее 80 спектральных гармоник в
каждом частотном диапазоне. Однако сами средние амплитуды спектра в частотных
диапазонах подвержены значительной межиндивидуальной вариативности (в 2-3.5
раза), определенной индивидуальными особенностями ЭЭГ испытуемых и инструментальными
факторами. Для ее нивелирования произведем нормировку средних амплитуд
спектра: каждое значение для конкретного испытуемого выражается в процентном
отношении к средней для него амплитуде по всем отведениям и всем частотным
диапазонам *3).
Обсуждение
результатов. На рис.3 приведены средние амплитуды
спектра, вычисленные дифференцировано по частотным диапазонам, отведениям
и стадиям сна. Сравнительный анализ результатов представляется целесообразно
производить по продольным 'меридианам' или парасагиттальным цепочкам электродов:
двум проксимальным Fp1, F3, C3, P3, O1 (левый меридиан будем обозначать
Fp1-O1) и Fp2, F3, C3, P3, O2 (правый меридиан обозначим Fp2-O2) и двум
дистальным F7, T3, T5 (левый меридиан F7-T5) и F8, T4, T6 (правый меридиан
F8-T6). Именно такие меридианы выделены на рис. 3.
Рис.3. Средние нормированные амплитуды спектра
по частотным диапазонам, отведениям и стадиям сна: по вертикали - амплитуды
спектра, по горизонтали - отведения.
Числовые
закономерности. Использованное меридианное
представление позволяет четко визуально выявить числовые соотношения и
закономерности (как в парасагиттальных, так и в аксиальных направлениях,
а также по стадиям сна и диапазонам), которые затем статистически верифицируются.
1. Тенденции последовательного увеличения амплитуд ЭЭГ по стадиям сна:
* в диапазоне дельта: W, REM-1-2, 3/4
(рk-w<10-5) с отсутствием различий стадий REM-1-2 (рk-w=0.56); в этих
соотношениях диапазон дельта противоположен диапазонам альфа и бета1, как
это имело место и в отношении межполушарной синхронности (рис. 1, а);
* в диапазоне тета: 3/4, W, 1-2, REM
(рk-w=0.007) с отсутствием различий стадий 1-2 (рk-w=0.59); в этих соотношениях
диапазон тета занимает промежуточное положение, как это имело место и в
отношении межполушарной синхронности (рис. 1, а);
* в диапазоне альфа: 3/4, REM-1-2,
W (рk-w<10-5) с отсутствием различий стадий REM-1-2 (рk-w=0.43);
* в диапазоне бета1: 3/4, 2-REM-1,
W (рk-w<10-5), различия стадий 2, REM, 1 выявляются с учетом упорядоченности
факторных эффектов (рjo=0.012).
2. Левополушарное доминирование, которое проявляется в обеих парах меридианов
(рw<0.00015), но по относительному соотношению амплитуд особенно выражено
в дистальных меридианах (обратное соотношение наблюдается только в отведениях
О1, О2 для диапазона альфа стадии W без значимых различий рw=0.15).
3. Соотношения лоб-затылок (за исключением меридиана F8-T6):
* последовательное возрастание амплитуд: в
диапазоне альфа для всех меридианов (рjo<0.013), кроме стадий 2 и 3/4;
в диапазоне бета для меридиана F7-T5 (рjo<0.003) и для меридиана Fp1-O1
в стадии W (рjo<10-9);
* последовательное уменьшение амплитуд (за
исключением отведений Fp1, Fp2): в диапазоне дельта (рjo<0.007); в диапазоне
тета для обоих проксимальных меридианов в стадиях REM и 3/4 (рjo<0.01);
в диапазоне альфа для обоих проксимальных меридианов в стадии 3/4 (рjo<10-6).
4. Доминирование проксимальных меридианов над дистальными (рw<0.013).
5. Частные закономерности: а) снижение амплитуд в отведениях Fp1, Fp2 относительно
F3, F4 (рw<0.02); б) более низкие амплитуды в Т4 по сравнению с соседними
отведениями меридиана F8-T6 и последовательное увеличение амплитуд лоб-затылок
в меридиане F7-T5 (рw<0.034).
Топографические
характеристики. Рассмотрим топографию средних
амплитуд спектра ЭЭГ по стадиям сна и частотным диапазонам (рис. 4, для
лучшей визуализации фокусов активности каждая карта представлена в собственной
цветовой шкале, поэтому для соотнесения уровней активации следует обращаться
к рис. 1. б). В качестве общих характеристик следует отметить следующие:
1) идентичная топография наблюдается в non-REM стадиях сна диапазона тета
и в стадиях 2 и 3/4 диапазонов дельта и бета1; 2) существенное отличие
топографии стадии REM и особенно стадии W от non-REM стадий сна; 3) общие
топографические различия последовательно увеличиваются в порядке частотных
диапазонов: тета, бета1, дельта, альфа.
Рис. 4. Топографическое распределение средних
амплитуд спектра ЭЭГ. по частотным диапазонам и стадиям сна
В диапазоне
альфа в стадии W активность локализуется в затылочных отведениях, в стадии
REM она захватывает и теменные отведения, а с углублением сна постепенно
смещается вперед, захватывая сначала центральные, а затем и центрально-лобные
отведения с уменьшением активности затылочных отведений. Такая тенденция,
хотя и в менее выраженной степени проявляется в диапазонах бета1 и тета
с учетом большего распространения активности на центральные и центрально-лобные
отведения. В диапазоне дельта в стадии W фокус локализуется в переднефронтальных
отведениях, в стадии REM активация охватывает большую область от центрально-лобных
до теменных отведений, а с углублением сна такая широко распределенная
активация постепенно смещается вперед.
Отметим отдельные сходные закономерности, выявленные в некоторых из цитируемых
исследований: расположение фокуса альфа-активности в стадии 1 в левой затылочной
области с его смещением в центральную область в стадии 2 [6], максимальная
дельта-активность в стадии 3/4 и бета-активность в стадии 1 [17], отличие
стадии 1 от стадии REM более низкой активностью в дельта- и тета-диапазонах
и более высокой активностью в диапазонах альфа и бета [14], преобладание
дельта-активности в лобно-центральной области [30].
Межполушарная
асимметрия. В табл. 2 приведены статистические
оценки межполушарной асимметрии дифференцировано по стадиям сна и симметричным
парам отведений. Аналогично в табл. 3 показаны проценты случаев наблюдения
правополушарной асимметрии. Эти данные позволяют сделать следующие выводы:
* по всем стадиям сна и симметричным парам
отведений доминирует левополушаная асимметрия: правосторонняя асимметрия
в среднем наблюдается лишь в 9.2% случаев (среднее от 'Среднее' в табл.
3), глобальное среднее значение асимметрии составляет 8.9+-5.4 (среднее
от 'Общее' в табл. 2);
* в порядке уменьшения левополушарной асимметрии
симметричные пары отведений могут быть проранжированы следующим образом:
T3-T4, T5-T7, F7-F8, P3-P4, C3-C4, Fp1-Fp2, F3-F4, O1-O2;
* тенденций закономерного или статистически
значимого изменения асимметрии по стадиям сна не наблюдается.
Таблица 2. Межполушарная асимметрия, вычисленная
по формуле (лев-прав)/(лев+прав)*100%: средние значения и стандартные отклонения
Таблица 3. Процентное соотношение правополушарной
асимметрии
Общие
закономерности. Рассмотренные результаты спектрального
анализа существенно дополняют результаты анализа синхронности огибающих
ЭЭГ, но совпадают в следующих своих общих характеристиках: 1) левополушарное
доминирование; 2) существенное топографическое отличие стадии W от других
стадий; 3) близкая топография наблюдается: в диапазоне тета по всем стадиям;
в стадиях 2 и 3/4 по всем частотным диапазонам.
5. ДИСКРИМИНАНТНАЯ КЛАССИФИКАЦИЯ
Классификация
по оценкам синхронности. С целью автоматического
распознавания стадий сна проведем общий дискриминантный классификационный
анализ [2, с. 365-370] профилей синхронности огибающих ЭЭГ раздельно по
частотным диапазонам, когда для каждой стадии сна исходно указывается номер
ее класса. В табл. 4 (строки 1-4) приведено число ошибок такой классификации
из 60 профилей синхронизма. Видно, что наилучшие результаты дает использование
диапазона альфа для всех стадий сна, хотя средний процент ошибок 22.3 и
здесь достаточно высок. Тем самым топография синхронности по стадиям сна
значительно менее различается, чем в отношении нормы и шизофрении, где
минимальное число ошибок дискриминантной классификации составило 1.5-6%
[3]. В направлении ухудшения распознаваемости стадии сна ранжируются (по
суммарному числу ошибок в четырех частотных диапазонах: 63, 96, 95, 63,
52) в следующем порядке: W, 3/4-REM, 2-1 (при других показателях [28] порядок
ранжирования близок к рассмотренному: 3/4, W-REM, 2, 1). Тем самым стадии
W, 3/4, REM заметно различаются по топографии ЭЭГ-синхронизма как между
собой, так и от стадий 1, 2; при этом наиболее высокие различия имеют место
для стадии W.
Таблица 4. Число ошибок дискриминантной классификации
стадий сна
Классификация
по спектральным оценкам. Далее для сравнения
проведем классификацию стадий сна с использованием спектральных оценок.
Здесь также лучшие результаты получены для диапазона альфа (табл. 4, строка
5), однако использование профилей синхронности (табл. 4, строка 1) более
эффективно как в среднем, так и для распознавания стадий REM, 1, 2 и W,
хотя спектральные оценки дают меньшее число ошибок при распознавании стадии
3/4.
Объединенная
классификация. Теперь проведем дискриминантный
анализ с расширенными матрицами данных, когда к показателям синхронности
огибающих ЭЭГ добавляются амплитудные показатели. Как видно из табл. 4
(строка 9), это дает улучшение результатов со средним процентом ошибок
11, при этом ошибки классификации отдельных стадий лежат в диапазоне 3-20%.
Классификация новых объектов. Для обоснования
устойчивости полученных результатов проведем контрольную классификацию,
разбив записи каждой стадии сна каждого испытуемого на две группы в соотношении
80 к 20%. Построим дискриминантные функции для первой группы записей (обучающая
выборка) и используем их для классификации записей второй группы (классифицируемая
выборка). Результаты анализа (табл. 4, строки 10, 11) демонстрируют небольшое
число ошибок для обучающей выборки (7%) и удовлетворительное распознавание
стадий сна для классифицируемой выборки (18.3% ошибок).
ЗАКЛЮЧЕНИЕ
Достаточно
подробные обзоры различных подходов к автоматическому распознаванию стадий
сна содержатся в работах [19, 28, 29]. Оценки ошибок классификации различных
стадий составляют: 10-42%, 5-37%, 15-25% [19], 6.9-12.5% [25], 7-39% [28],
18-21%, 12.3%, 23% [29]. Отсюда следует, что за прошедшие четверть века
(с работы [19]), несмотря на внедрение множества новых вычислительных методов,
в этом направлении не было достигнуто существенного продвижения. В таком
сравнение полученные нами результаты выглядят несомненно перспективными.
Тем самым сочетание оценок корреляционной синхронности огибающих ЭЭГ с
амплитудными спектральными оценками может являться основой для высоконадежного
автоматического распознавания стадий сна и дремотных состояний как непосредственно
в ходе эксперимента, так и при постэкспериментальном анализе записей. С
другой стороны, рассмотренные в разделах 2, 3, 5 многочисленные и многоплановые
результаты (в дополнение к результатами работы [3]) свидетельствуют о физиологической
валидности, инновационной эффективности, плодотворности и перспективности
предложенного метода оценки синхронности ЭЭГ. Аналогичный вывод по результатам
раздела 4 правомочен и в отношении предложенного метода нормировки амплитудно-спектральных
показателей.
СПИСОК ЛИТЕРАТУРЫ
-
1. Жаворонкова Л.А., Трофимова Е.В. Динамика когерентности
ЭЭГ и двигательных реакций при засыпании у правшей и левшей. Физиология
человека. 1997. 23(6):18-26.
-
2. Кулаичев А.П. Методы и средства комплексного
анализа данных. Учебное пособие для классического университетского образования.
М.: ФОРУМ-ИНФРА-М, 2006. 512 с.
-
3. Кулаичев А.П. Метод анализа корреляционной
синхронности ЭЭГ и его возможности. Журн. высш. нерв. деят. 2011. 61(4):
485-498.
-
4. Кураев Г. А., Сунцова Н. В. Межполушарные отношения
на разных стадиях цикла бодрствование-сон человека. Физиология человека.
1998. 24(5):72-79.
-
5. Сулимов А. В., Марагей Р. А.. Изучение ЭЭГ
сна как нелинейного динамического процесса: сравнение глобальной корреляционной
размерности ЭЭГ человека и мер линейной зависимости между каналами. Журн.
высш. нерв. деят. 2003. 53(2):151-155.
-
6. Сысоева Ю.Ю., Вербицкий Е.В. Исследование пространственно-временной
организации ЭЭГ при развитии ночного сна лиц высокой и низкой тревожности.
Материалы 3-й конференции 'Сон - окно в мир бодрствования'. Москва. 2005.
97-98.
-
7. Шеповальников А.Н., Цицерошин М.Н., Рожков
В.П., Гальперина Е.И., Зайцева Л.Г., Шеповаленков Р.А. Особенности межрегионального
взаимодействия корковых полей при разных стадиях естественного и гипнотического
сна (по данным ЭЭГ). Физиология человека. 2005. 31(2):34-48.
-
8. Шишкин С.Л., Каплан А.Я., Дорохов В.Б. Корреляция
между амплитудами огибающих частотных компонентов ЭЭГ как дополнительный
инструмент для отслеживания динамики сна и дремотных состояний. Материалы
1-й конференции 'Сон - окно в мир бодрствования'. М., 2001. 157-158.
-
9. Achermann P., Borbely A. A. Coherence spectra
of all-night sleep EEG. Sleep Res. 1997. 26:1.
-
10. Achermann P., Borbely A. A. Temporal evolution
of coherence and power in the human sleep electroencephalogram. J. Sleep
Res. 1998. 7 (Suppl 1):36-41.
-
11. Armitage R., Hoffmann R., Loewy D., Moffitt
A. Variations in period-analysed EEG asymmetry in REM and NREM sleep. Psychophysiology.
1989. 26(3): 329-336.
-
12. Casagrande M., Bertin M. Night-time right
hemisphere superiority and daytime left hemisphere superiority: a repatterning
of laterality across wake-sleep-wake states. Biol. Psychol. 2008. 77(3):337-342.
-
13. Corsi-Cabrera M., Guevara M., Arce C., Ramos
J. Inter and intrahemispheric EEG correlation as a function of sleep cycles.
Progr. Neuro-Psychopharmacol. Biolog. Psychiat. 1996. 20(3):387-405.
-
14. Corsi-Cabrera M., Munoz-Torres Z., Del Rio-Portilla
Y., Guevara M. Power and coherent oscillations distinguish REM sleep, stage
1 and wakefulness. Int. J. Psychophysiol. 2006. 60(1):59-66.
-
15. Duckrow H.P., Zaveri H.P. Coherence of the
electroencephalogram during the first sleep cycle. Clin. Neurophysiol.
2005. 116(5):1088-1095.
-
16. Dumermuth G., Lehmann D. EEG Power and coherence
during non-REM and REM phases in humans in all-night sleep analyses. Eur.
Neurol. 1981. 20:429-434.
-
17. Dumermuth G., Langea B., Lehmann D., Meier
C.A., Dinkelmann R., Molinari L. Spectral analysis of all-night sleep EEG
in healthy adults. Eur. Neurol. 1983. 22(5):322-339.
-
18. Ehrlichman H., Antrobus J., Weiner M. EEG
asymmetry and sleep mentation during REM and NREM sleep. Brain Cogn. 1985.
4(4):477-485.
-
19. Fell J., Roschke J., Mann K., Schaffner C.
Discrimination of sleep stages: a comparison between spectral and nonlinear
EEG measures. EEG Clin. Neurophysiol. 1996. 98(5):401-410.
-
20. Kaminski M., Blinowskaa K., Szelenbergerb
W. Topographic analysis of coherence and propagation of EEG activity during
sleep and wakefulness. EEG Clin. Neurophysiol. 1997. 102(3):216-227.
-
21. Kobayashu T., Madokoro S., Misaki K., Murayama
J., Nakagawa H., Wfda Y. Interhemispheric differences of the correlation
dimension in a human sleep electroencephalogram. Psychiat. Clin. Neurosci.
2002. 56(3):265-266.
-
22. Kuraev G., Suntsova N., Chernoval L., Pavlov
I. Interhemispheric relationships of the EEG activity during sleep-waking
cycle in normal adults. Sleep Res. 1997. 26: 19.
-
23. Nielsen T., Abel A., Lorrain D., Montplaisir
J. Interhemispheric EEG coherence during sleep and wakefulness in left-
and right-handed subjects. Brain Cogn. 1990. 14(1):113-125.
-
24. Obermeyer W., Larson C., Yun B., Dolski I.,
Weber S., Davidson R., Benca R. Comparison of frontal activation in sleep
and wake. Sleep Res. 1997. 26: 232.
-
25. Park Hae-Jeong, Oh Jung-Su, Jeong Do-Un, Park
Kwang-Suk. Automated sleep stage scoring using hybrid rule and case-based
reasoning. Comput. Biomed. Res. 2000. 33(5):330-349.
-
26. Pereda E., Gamundi A., Nicolau M., Rial R.,
Gonzales J. Interhemispheric differences in awake and sleep human EEG:
a comparison between non-linear and spectral measures. Neurosci. Lett.
1999. 263(1):37-40.
-
27. Roth C., Achermann P., Borbely A.A. Frequency
and state specific hemispheric asymmetries in the human sleep EEG. Neurosci.
Lett. 1999. 271(3):139-142.
-
28. Susmakova K., Krakovska A.. Selection of measures
for sleep stages classification. Proc. 7th Int. Conf. Measurement. Smolenice.
2009:86-89.
-
29. Susmakova K., Krakovska A. Discrimination
ability of individual measures used in sleep stages classification. Art.
Intel. Med. Arch. 2008. 44(3):261-277.
-
30. Tanaka H., Hayashi M., Hori T. Topographic
mapping of EEG spectral power and coherence in delta activity during the
transition from wakefulness to sleep. Psychiat. Clin. Neurosci. 1999. 53(2):155-157.
Сноски
*1)
Как выяснилось в ходе последующего литературного поиска, предложение подобных
вычислений применительно ко сну было озвучено в докладе [8], а в работах
[13, 22] использовались оценки корреляций между нативными ЭЭГ.
*2)
Автор выражает глубокую признательность сотруднику ИВНДиНФ РАН Р.А.Марагею
за предоставленные для анализа полисомнограммы ночного сна.
*3)
Было опробовано несколько различных нормировок, из которых использованный
вариант показал наилучшие результаты в плане дифференциации стадий сна.
В частности, данная нормировка уменьшает коэффициенты вариации амплитудных
оценок испытуемых по отведениям и в рамках отдельных стадий сна и частотных
диапазонов в 2.2-3.5 раза.